Next: About this document ...
,
, and the ring of Witt vectors
No.05:
In this lecture, rings are assumed to be unital, associative and
commutative unless otherwise specified.
DEFINITION 05.1
A (unital commutative) ring

is said to be a
local ring
if it has only one maximal ideal.
PROPOSITION 05.3
is a local ring. Its maximal ideal is equal to
.
We may do some ``analysis'' such as Newton's method to obtain some
solution to algebraic equations.
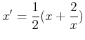
Newton's method for approximating a solution of algebraic equation.
Let us solve an equation
in
.
We first note that
hold. So let us put
as the first approximation of the solution.
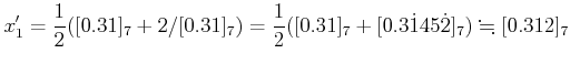
The Newton method tells us that for an approximation
of the equation
, a number
calculated as
gives a better approximation.
So
is a better approximation of the solution.
In order to make the calculation easier,
let us choose
(insted of
) as a second approximation.
We choose
as a second approximation.
We choose
as a third approximation.
We choose
as a third approximation.
EXERCISE 05.1
Compute
EXERCISE 05.2
Find a solution to
such that

.
Next: About this document ...
2008-06-10